Bio-based Monomers for Polymers and Plastics - Available Technologies - NDSU Research Foundation

Bio-based Monomers for Polymers and Plastics


DESCRIPTION

This technology introduces novel monomers synthesized from biomass, particularly lignin and cellulose. The disclosed monomers include functionalized derivatives of lignin-based phenolic compounds such as vanillin, eugenol, and syringaldehyde, as well as furan-based monomers derived from cellulose. These compounds serve as key building blocks for the production of high-value polymers.

The process involves:

  • Lignin Depolymerization: Breaking down lignin into phenolic monomers, which can be further modified into bifunctional monomers containing hydroxyl, aldehyde, carboxylic acid, amine, and ester groups.
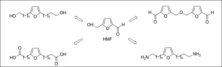
  • Furan-Based Monomers: Deriving 5-hydroxymethylfurfural (HMF) from cellulose, which can be converted into 2,5-furandicarboxylic acid (FDCA) and other useful intermediates for polymer synthesis.
  • Polymerization: The monomers can be polymerized into nylons, polyesters, polyurethanes, and polyamides using free radical polymerization and other techniques.

By utilizing biomass as a raw material, this technology provides a sustainable route to produce essential chemicals that can replace petroleum-based monomers in industrial applications.

 

 

Chemical Structures
Chemical Structures Figure 2

 

 

Benefits

  • Sustainability
  • Versatile Applications
  • Eco-Friendly
  • High Market Value
  • Scalability

 

Applications

  • Biodegradable Plastics
  • Adhesives and Coatings
  • Biomedical Polymers
  • Textile Fibers
  • Automotive and Aerospace

Patents

This technology is the subject of the Issued US Patents 10,513,482 and 11,220,475 and is available for licensing/partnering opportunities.

Patent Information:
For Information, Contact:
NDSU Research Foundation
info@ndsurf.org
701-231-6681
Inventors:
Mukund Sibi
Selvakumar Sermadurai
Nicolas Zimmermann
Eric Serum
Gaoyuan Ma
Ramkumar Moorthy
Krystal (Kalliokoski) Grieger
Keywords: